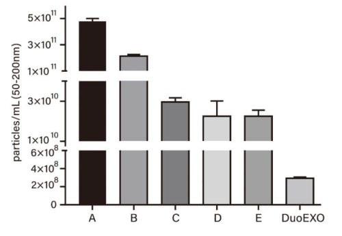
Low background noise (nano-particles) in DuoEXO

Numbers of nano-particles (diameter 50 ~ 200 nm) in basal medium with either :
A. 10% FBS
B. Brand S, exosome-depleted FBS
C. 10% ultracentrifugation FBS
D. Brand G, serum free medium
E. 5% hPL
F. DuoEXO
The nano-particles in DuoEXO is 100 times smaller than in other medium.
Cells exhibit similar doubling time in either DuoEXO, 10% FBS or 5% hPL

Doubling time of human umbilical cord-derived MSC (UC-MSC) cultured using either DuoEXO, 10% FBS or 5% hPL as supplement from P1 to P5.
MSCs derived exosomes are detected after culturing using DuoEXO analysis

Comparison of 5% hPL and DuoEXO : The left panel was medium only, and the right panel was medium after MSC cultured. Medium was collected and followed by ultracentrifugation and Western Blot. (CD9 : exosome marker)
The result demonstrates that before culture, unidentified exosomes were detected in 5% hPL but not in DuoEXO. And exosomes were detected in DuoEXO after cultured with MSCs