Quality Level: 200
Assay: ≥98%
(HPLC)
storage condition:
protect from light
under inert gas
solubility: methanol:
1 mg/mL, clear, colorless
application(s):
metabolomics
vitamins, nutraceuticals, and natural products
shipped in: dry
ice
storage temp.: −20°C
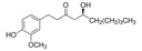
SMILES string: CCCCC[C@H](O)CC(=O)CCc1ccc(O)c(OC)c1
InChI:
1S/C17H26O4/c1-3-4-5-6-14(18)12-15(19)9-7-13-8-10-16(20)17(11-13)21-2/h8,10-11,14,18,20H,3-7,9,12H2,1-2H3/t14-/m0/s1
InChI key: NLDDIKRKFXEWBK-AWEZNQCLSA-N